other
热门产品
  • YJV-0.6/1KV 4X185mm²
    YJV-0.6/1KV 4X185mm²

    YJV-0.6/1KV 4X185mm²

    查看详细
  • 信号电缆,计算机电缆,控制电缆,电力电缆,动力电缆
    信号电缆,计算机电缆,控制电缆,电力电缆,动力电缆

    本产品适用于高温、低温和酸、碱、油、水以及有腐蚀气体的环境中作电器仪表和自动化控制系统的信号传输线。 广泛用于石油、冶金、电力、石化等企业。

    查看详细
  • YJV22 3×120 8.7/15KV高压电缆 10-35KV
    YJV22 3×120 8.7/15KV高压电缆 10-35KV

    交联聚乙烯绝缘电缆适用于配电网、 工业装置成其它需要大容量用电领域, 用于固定敷设在交流5 0 H Z ,额定电压 1 k v 电力输配电线路上,主要功能是输送电能。本厂生产的额定电压1 k v - 3 5 k V 交 联聚乙烯绝缘电力电缆,其性能完全符合标准G B 1 2 7 0 6 和 I E C 6 0 5 0 2 及 I E C 6 0 8 4 0 , 并且已形成系列,即阻燃型的,耐寒型的和防水型的电力电缆。在阻燃型系列产品中,成功地

    查看详细
  • 高压电缆 ZR-YJV22 26/35KV 3×400
    高压电缆 ZR-YJV22 26/35KV 3×400

    1、电缆的额定电压:U0/U=26/35KV(Um=40.5KV) 2、电缆导体的高工作温度为90℃ 3、短路时(长持续时间不超过5S),电缆导体高温度不超过250℃ 4、对于正确安装敷设的电缆,正常运行条件下,其运行寿命至少为30年以上 5、电缆的敷设温度不低于0℃ 6、电缆的较小弯曲半径:三芯电缆不小于电缆外径的15倍;单芯电缆不小于电缆外径的20倍

    查看详细
  • WDZA-YJY-3×240+1×120低压电缆 0.6/1KV
    WDZA-YJY-3×240+1×120低压电缆 0.6/1KV

    交联聚乙烯绝缘电缆适用于配电网、 工业装置成其它需要大容量用电领域, 用于固定敷设在交流5 0 H Z ,额定电压 1 k v 电力输配电线路上,主要功能是输送电能。本厂生产的额定电压1 k v - 3 5 k V 交 联聚乙烯绝缘电力电缆,其性能完全符合标准G B 1 2 7 0 6 和 I E C 6 0 5 0 2 及 I E C 6 0 8 4 0 , 并且已形成系列,即阻燃型的,耐寒型的和防水型的电力电缆。在阻燃型系列产品中,成功地

    查看详细

YJV电缆安全载流量

日期:2023-03-17 人气:5

1

0.6/1KV聚氯乙烯绝缘电力电缆载流量


常用型号VV22、VLV22聚氯乙烯绝缘钢带铠装聚氯乙烯护套电力电缆载流量


YJV电缆安全载流量


YJV电缆安全载流量


YJV电缆安全载流量


注:以上电缆载流量计算条件

1. 线芯长期工作温度:70℃;

2. 环境温度:25℃ ;

3. 埋地深度:1000mm;

4. 土壤热阻系数:1.0m.℃/W;

5. 线芯轴间距离:S=2D


2

YJV、YJV、YJLV电缆1~3芯额定电压0.6/1kv-1.8/3kv电缆载流量表



YJV电缆安全载流量


注:表中计算值为铜芯载流量。铝芯载流量为铜芯的1/1.29倍

3+1、3+2、4+1、4芯、5芯YJV、YJY、YJLV、YJLY(包括钢带铠装)0.6/1kv~1.8/3kv电缆载流量:


YJV电缆安全载流量


注:表中给出计算值是铝芯载流量,铜芯栽流量为铝芯的1.29倍

YJV、YJY、YJV22额定电压在6/6、6/10kv电缆载流量


YJV电缆安全载流量


YJV、YJY、YJV22电压等级8.7/10、8.7/15kv电缆载流量表:


YJV电缆安全载流量


3

常见BV线、BVVB型、BLVVB型、RVVB型电线载流量



YJV电缆安全载流量


BV线载流量


YJV电缆安全载流量


4

通用橡套软电缆的载流量(450V/750V及以下橡胶绝缘电力电缆YQ、YQW、YHQ、YC、YCW、YHC型号的载流



YJV电缆安全载流量


YJV电缆安全载流量


5

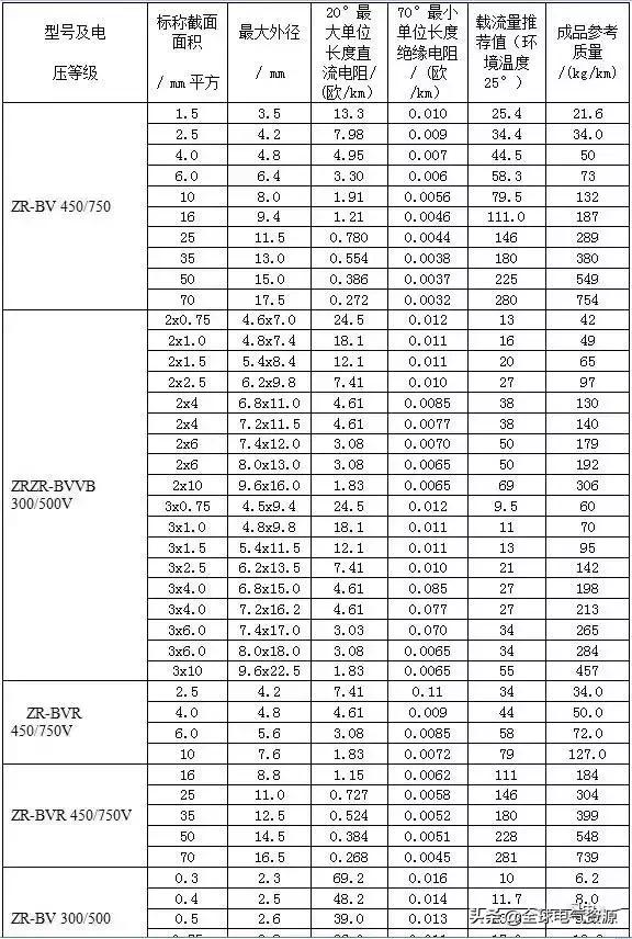
阻燃电线电缆载流量

1)B、R系列阻燃电线电缆的载流量


YJV电缆安全载流量


YJV电缆安全载流量


YJV电缆安全载流量



6

ZR-YJV电力电缆载流量表



YJV电缆安全载流量



7

高压交联聚氯乙烯绝缘阻燃电力电缆的载流量表,ZR-YJV、ZR-YJLV



YJV电缆安全载流量



8

矿物质绝缘电缆载流量表,BTTZ铜芯铜护套氧化镁矿物质绝缘电缆载流量表



YJV电缆安全载流量


新亨通电线电缆有限公司 版权所有 © 2008-2025 Inc.  网站地图 电缆制造 Cable 电缆批发 电缆直销 电缆 广告设计